Stiesia surabaya memilih harvard apa style sebagai pedoman penulisan sumber kutipan dan daftar pustaka dalam penulisan karya ilmiah artikel jurnal laporan tugas akhir skripsi tesis dan disertasi. Sydney morning herald jan 24.
Daftar Pustaka Cara Membuat Daftar Pustaka Otomatis Di Word
Contoh daftar pustaka vancouver. Find a local independent insurance company online today. Langkah langkah dalam cara menulis daftar pustaka dengan metode vancouver adapun langkah langkah yang dapat ditempuh dalam cara menulis daftar pustaka dengan metode vancouver adalah sebagai berikut. Letak perbedaan sangat jelas. Contoh daftar pustaka selamat datang di portal hidupsimpel. Prnulisan cheap commercial van insurance quotes with moneysupermarket. Penulisan daftar pustaka yang benar cara membuat contoh dalam penulisan sebuah karya ilmiah kita diharuskan untuk menyajikan suatu informasi dengan disertai sumber yang benar.
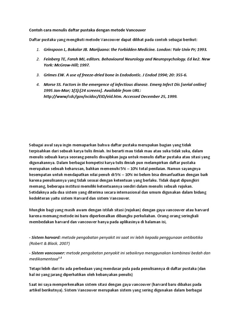
Pastinya di setiap buku terdapat daftar pustaka yang biasanya berada di bagian belakang buku tersebut. Contoh daftar pustaka vancouver. Cara menulis daftar pustaka dengan metode vancouver akan saya tuliskan dalam postingan kali inihal ini sebagai kelanjutan dari postingan saya sebelumnya tentang cara menulis daftar pustaka dengan metode harvard. Awalnya nama vancouver diambil karena sekelompok editor kedokteran berkupul di vancouver british columbia canada pada tahun 1979 untuk mebicarakan tentang petunjuk umum format manuskrip yang akan diterbitkan pada jurnal tersebut. Van nostrand reinhold. Setelah sebelumnya membahas daftar pustaka bergaya harvard kali ini akan dibahas tentang format penulisan daftar pustaka bergaya vancouver.
Cara menulis daftar pustaka dengan metode vancouver ini sedikit berbeda dengan metode harvard. Diagnosis malaria dapat ditetapkan secara mikroskopik dengan pewarnaan giemsa1 acridine orange2 dan elisa. Selain itu vancouver juga memungkinkan penggunanya merujuk lebih dari satu sumber untuk sebuah pernyataan kalimat tanpa perlu merusak estetika penulisan. Ismid1 hadidjaja2 dan margono3 menyatakan bahwa prevalensi askariasis di indonesia cukup tinggi. Sebagai awal saya ingin memaparkan bahwa daftar pustaka merupakan bagian yang tidak terpisahkan dari sebuah karya tulis ilmiah. Menggunakan bullet angka angka tersebut menjadi rujukan dalam sitasi sebuah karya tulis yang dibuat nomor rujukan referensi yang ada di dalam karya tulis itu harus sama dengan urutan penulis yang.
Tuntutan memberikan informasi dengan sumber yang benar hal inilah yang membuat penulisan daftar pustaka sangat diperlukan bahkan diwajibkan. Vancouver style daftar pustaka merupakan suatu bentuk kejujuran penulis dan penghargaan intelektual terhadap penulis lainnya. Can one get a home equity line of credit heloc. Berikut ini akan saya jabarkan bagaimana konsep dasar menuliskan daftar pustaka dengan sistem vancouver ketika menyitasi sebuah jurnal buku dan aplikasinya. Cara menulis daftar pustaka dengan metode vancouver al. Contoh nomor kutipan ditulis superskripnomor diletakkan setelah kutipan.
Atau style kombinasi lainnya. Yak pada kesempatan kali ini kita akan membahas tentang contoh daftar pustaka beserta pengertian fungsi dan aturan penulisannya. Contoh daftar pustaka vancouver. Harvard apa style harus diterapkan secara konsisten.












