Pembahasan tentang fungsi komposisi aljabar fungsi dan komposisi fungsi matematika disertai rumus soal sudah kita bahas pada postingan sebelumnya. Contoh soal fungsi komposisi jawaban dan pembahasannya kelas 10 soal no1 utbk 2019 diketahui grafik fungsi f dan g dengan beberapa nilai fungsi f dan g sebagai berikut.

Contoh Soal Uan Fungsi Komposisi Invers
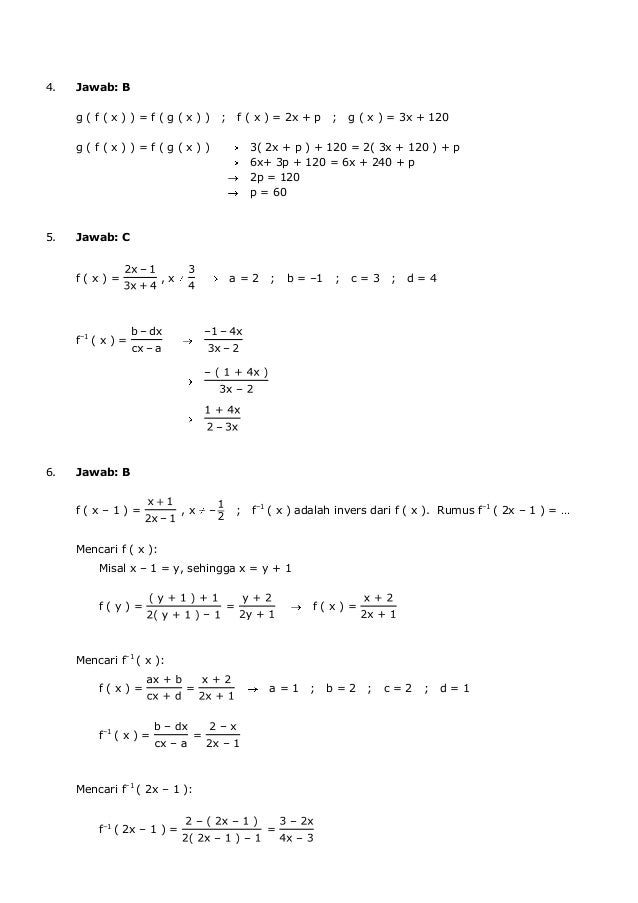
Contoh soal dan pembahasan fungsi komposisi. Kali ini kita akan bahas bersama sama soal materi komposisi lengkap dengan cara penyelesaiannya dan contoh latihan soal. Soal dan pembahasan komposisi dan invers fungsi berikut ini adalah kumpulan beberapa soal mengenai komposisi dan invers fungsi tingkat smasederajat disertai pembahasannya. Contoh soal dan pembahasan tentang fungsi invers. Contoh soal dan pembahasan. Contoh soal fungsi komposisi dan jawaban pembahasan fungsi komposisi adalah penggabungan sebuah operasi dua jenis fungsi fx dan gx sehingga mampu menghasilkan sebuah fungsi baru. Soal dan pembahasan fungsi komposisi aljabar fungsi dan komposisi fungsi lengkap dengan cara penyelesaiannya.
Agar kalian dapat memahami lebih jelas mengenai fungsi invers coba kita kerjakan contoh soal berikut ini. Contoh soal fungsi komposisi dan invers dan jawaban pembahasan oleh anas ilham diposting pada mei 19 2020 mei 20 2020 contoh soal fungsi komposisi dan invers pilihan ganda pembahasan berikut ini bank contoh soal fungsi komposisi dan invers lengkap dengan jawaban beserta penyelesaiannya untuk siswa dari berbagai penerbit buku yang berjumlah 20 butir. Contoh soal dan pembahasan tentang invers fungsi komposisi. Tentukan rumus fungsi invers dari fungsi fx 2x 6. Operasi fungsi komposisi tersebut biasa dilambangkan dengan o kemudian dapat dibaca komposisi ataupun bundaran. Fungsi komposisi bisa kita tuliskan seperti berikut ini.
Soal juga dapat diunduh dengan mengklik tautan berikut. Contoh soal dan pembahasan tentang fungsi komposisi. Perhatikan contoh contoh berikut ini. Soal nomor 1 diberikan dua buah fungsi masing masing fx dan gx berturut turut adalah.