Contoh soal dan pembahasan tentang pencerminan terhadap garis x a dan y b. Muhammad riezky 12 juli 2018 1858.
                        Contoh Soal Transformasi Laplace Ft Ilmu Pengetahuan 8
Contoh soal transformasi laplace dan penyelesaiannya. Transformasi z transformsi z langsung sifat sifat transformasi z transformasi z rasional transformasi z balik transformasi z satu sisi. Transformasi laplace sifat sifat transformasi laplace sifat sifat transformasi laplace sifat sifat transformasi laplace pecahan parsial xs derajat ps derajat qs pecahan parsial xs akar akar qs berbeda tidak ada yang sama pecahan parsial xs jika pi pk maka penyelesaian dapat diselesaikan secara khusus yang menghasilkan xt merupakan fungsi cosinus dan sinus pecahan parsial x. Tentukanlah transformasi lapalce invers. Konvergen ae roc 4 contoh dan soal soal latihan tentukan transformasi z dari sinyal berhingga waktu diskrit berikut serta. Soal latihan transformasi laplace dan transformasi z 2010 2011 pdf praktikum sinyal dan sistem pdf comparative study of methods lecture oriented student oriented advertisement. Pada kesempatan ini id ku akan memposting soal dan pembahasan rotasi perputaran dengan matriks dimana rotasi perputaran ini sendiri merupakan bagian dari materi transformasi geometri.
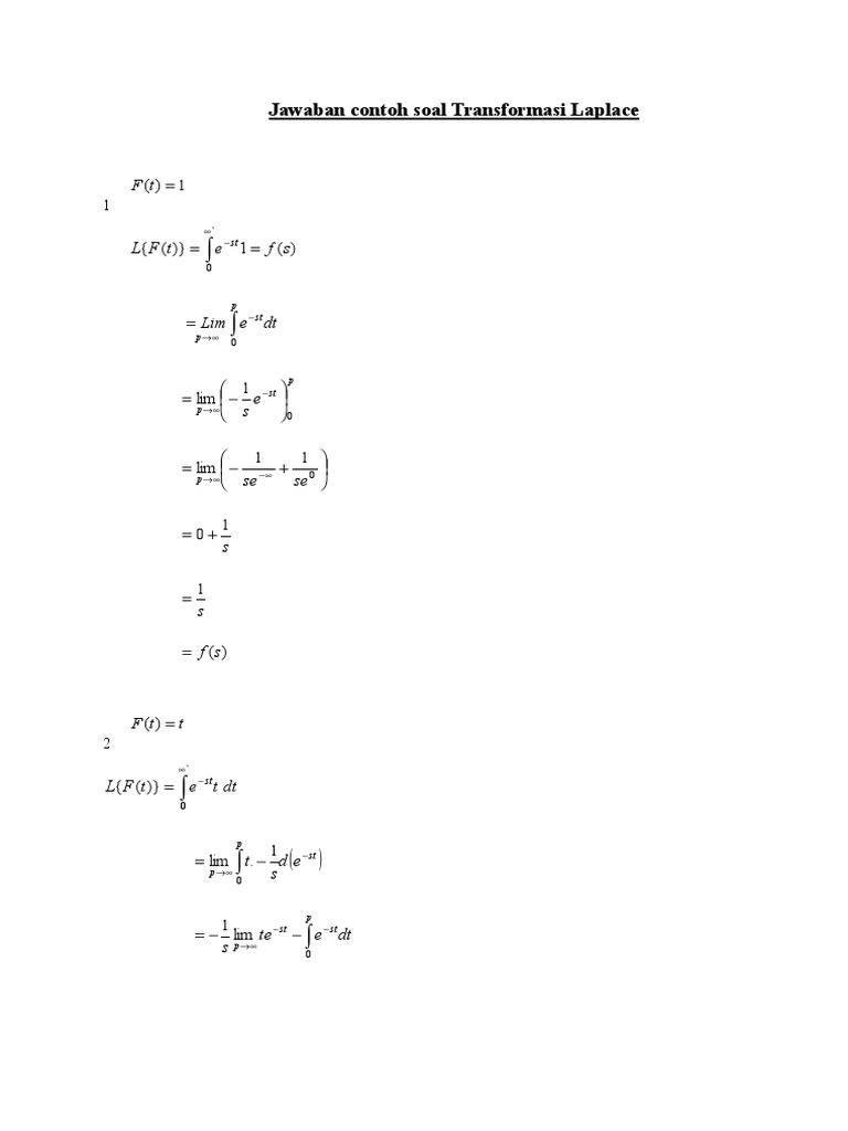
Jawaban contoh soal transformasi laplace 1. Jawaban contoh soal transformasi laplace 1. Admin blog contoh soal terbaik 2019 mengumpulkan gambar gambar lainnya yang berhubungan dengan contoh soal dan jawaban transformasi fourier dibawah. Perhatikan contoh soal transformasi berikut ini. 2 2 3 3. Home contoh soal invers transformasi z dan penyelesaiannya contoh soal transformasi z dan penyelesaiannya contoh soal transformasi z dan penyelesaiannya.
6 contoh transformasi laplace 3 tl derivatif 5 transformasi laplace 3 1 transformasi laplace 1 4. Berikut informasi sepenuhnya tentang contoh soal dan penyelesaian transformasi laplace. Ekspansi pecahan parsial menghasilkan b s. Contoh soal transformasi lapalace 1. Contoh soal dan pembahasan tentang pencerminan terhadap sumbu x sumbu y. Istana matematika 23445 views.
Z f n f z f k z k k 1 dengan z adalah. L 10 sin 4t 4t2 l10sin 4t l4t2 10lsin 4t 4lt2 10. Materi translasi refleksi no refleksi bayangan xy 1 terhadap sumbu x x y 2 terhadap sumbu y x y 3 terhadapt garis y x y x 4 terhadap garis y x y x 5 terhadapat titik asal o0 0 x y 6 terhadap garis x h 2h x y 7. Ft dari fungsi berikut. 0 tidak suka tandai sebagai tidak bermanfaat. Contoh soal anggaran perusahaan beserta.
Contoh soal anggaran penjualan dan penyelesaiannya. Pembahasan soal soal transformasi laplace 1 duration. Pembagian pembilang dengan penyebut menghasilkan. L 10 sin 4t 4t2 jawab. 11 deret fourier 1 9 contoh soal transformasi lapace 5 8 transformasi laplace 5 7 transformasi lapalce 4 tabel transformasi lap.















