Surat persetujuan ahli waris untuk jual beli warisan. Surat ini biasanya dibuat oleh seorang anak atau anggota keluarga yang berhak menerima warisan dari orang yang telah meninggal dunia.
Surat Peryataan Penyerahan Tanah Oleh Ahli Waris
Contoh surat persetujuan ahli waris. Soehariyo mmar menyatakan setuju dan mendukung bapak h. Dulu itu orang tua saya membeli sebidang tanah skitar thn 80 an dari si a tanah trsebut tdk ada surat nya hanya ada kaya surat segel warna kuning yg ada logo garuda di pojok atas nya tpi itu juga di bikin nya skitar tahun 90 an. Contoh surat pernyataan ahli waris diperlukan jika ada ahli waris yang tinggal berjauhan dengan tanah atau rumah yang akan dijual sehingga sulit melakukan penandatanganan akta jual beli. Surat persetujuan ahli waris menjual tanah rumah mata hukum doc contoh resminya surat merupakan sebuah alat komunikasih yang sudah lama digunakan dari jaman dahulunamun untuk sekarang ini surat cenderung berkembang untuk alat andminitratif pelengkap sebuah dokumen dan biasanya bersift resmi. Berikut ini admin akan berbagi contoh format penulisan surat kuasa ahli waris bank. Selain surat perjanjian pembagian harta warisan ada juga kasus dimana warisan tersebut tidak bisa dibagi dan harus dijual untuk membaginya.
Ok gan artikel nya sangat membantu tpi gan bisa beri contoh surat pernyataan gk buat saya permasalahan nya begini. Jadi dalam pengurusan penjualan tanah atau rumah warisan tersebut semua ahli waris tidak perlu hadir dan hanya diwakilkan oleh satu ahli waris yang telah diberi kuasa tersebut. Surat keterangan ahli waris merupakan surat keterangan yang isinya adalah pernyataan bahwa pihak pembuat surat keterangan ahli waris tersebut memang benar benar berhak atas segala sesuatu yang diwariskan oleh seseorang. Soerhariyo untuk mewakafkan tanah atas nama beliau seluas kurang lebih 165m 2 seratus enam puluh lima meter persegi kepada yayasan rohmatul ummah masjid jami al anshor jaticempaka untuk tujuan dibidang sosial kemanusiaan dan keagamaan. Nah surat kuasa ahli waris diperlukan antara lain jika ada ahli waris yang tinggal berjauhan dengan tanah atau rumah yang akan dijual dan sulit untuk datang ke lokasi penandatanganan akta jual beli. Masing masing ahli waris menanda tangani surat perjanjian ahli waris ini dengan dibubuhi materai rp.
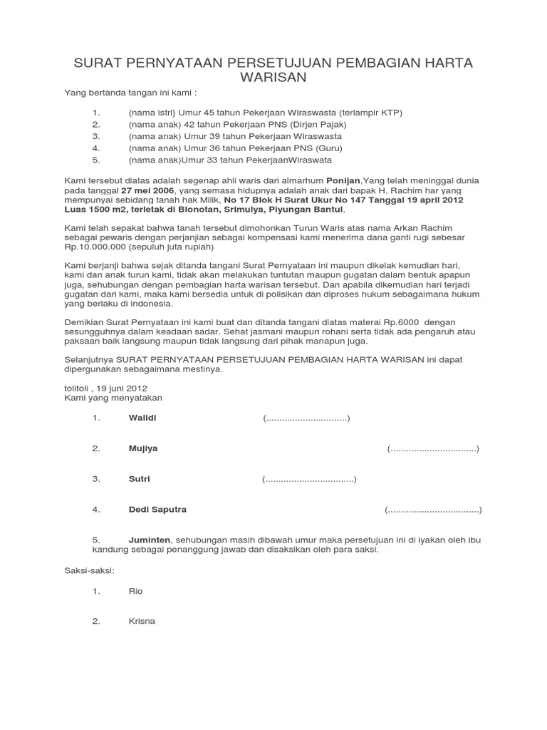
Contoh surat keterangan kesepakatan para ahli waris atas pembagian harta warisan dari harta yang meninggalkan ayah. Surat persetujuan keluarga ahli waris kami atas nama keluarga dan ahli waris dari bapak h. Dalam proses jual beli tanah atau rumah warisan tersebut semua ahli waris tidak perlu hadir. Almarhum tidak mempunyai anakketurunanakhli waris yang lain selain nama dan atau nama nama sebagaimana tersebut diatas. Surat kuasa ahli waris bank yaitu digunakan jika almarhumalmarhumah mempunyai simpanan tabungan di bank tertentu bisa uang pensiunan atau uang tabungan haji dan tabungan lainya. Contoh surat keterangan kesepakatan pembagian harta waris.
Contoh format ini saya ambil dari contoh pada pengambilan uang pensiunan di bank untuk almarhum ayah admin. Demikian surat keterangan dan pernyataan ahli waris ini kami buat dengan sebenarnya diatas kertas bermaterai cukup dalam keadaan sehat jasmani dan rohani tanpa ada tekanan maupun paksaan dari siapapun.














