Sabtu 07 mei 2011. 15 contoh surat pernyataan kesanggupan untuk berbagai keperluan dalam berbagai kasus dan keperluan seseorang mungkin saja memerlukan dan harus menulis surat pernyataan.

Dokumendokumen Pengadaan 3
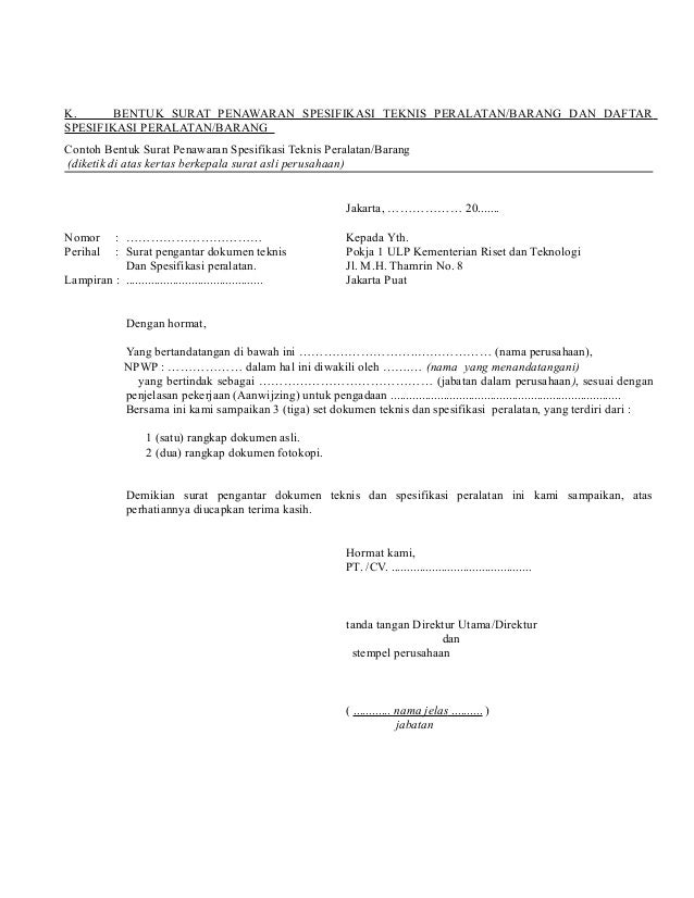
Contoh surat kesanggupan penyediaan barang. Namun untuk urusan komunikasi perusahaan maupun berbagai lembaga maupun instansi pemerintah penggunaan surat masih merupakan sesuatu hal yang wajib untuk dilakoni. Barang danatau jasa dalam proses pengadaan barang danatau jasa di lingkungan pt. Surat pernyataan ini dicetak dengan menggunakan kop surat perusahaan dan ditandatangani oleh pengurus perusahaan yang tercantum dalam akta perusahaan terakhir pada saat ditandatangani. Microsoft word surat pernyataan penyedia barang jasa ver 1docx author. Pada zaman serba modern ini manusia semakin mudah lupa. Contoh surat pernyataan kesanggupan pernah ngga kamu diminta tolong sama temen untuk dibuatkan surat pernyataan kesanggupan.
Surat ini bisa diartikan sebagai jenis surat yang isinya menyatakan kesanggupan dan kemampuan dalam menjalankan suatu aturan tugas dan atau perjanjian. 15 contoh surat pernyataan paling lengkap untuk berbagai kebutuhan belakangan ini penggunaan surat memang bisa dibilang sudah semakin minim terlebih untuk urusan pribadi. Diatas kop penyedia barang. Hallo sobat sharing pada kesempatan ini saya akan menyajikan banyak contoh surat pernyataan kerja kesanggupan sikap belum menikah dll beserta format dan cara penyusunannyakamu pasti sedang membutuhkannya. Jenis surat ini tergolong masih merupakan salah satu jenis surat yang masih relevan untuk digunakan pada saat sekarang ini. Yang dengan ini menyatakan bahwa berkaitan dengan proses saya menyatakan sanggup untuk memenuhi syarat syarat proses tersebut dan karenanya sanggup untuk melakukan hal hal sebagai berikut.
Surat pernyataan ini harus ditandatangani oleh pengurus perusahaan yang tercantum dalam akte perusahaan terakhir pada saat ditandatangani. Surat perjanjian pengadaan barang proyek pengadaan barang merupakan salah satu tipe proyek yang banyak beredar di perkantoran maupun gedung pemerintahan. Surat pernyataan kesanggupan nomor. Ada banyak contoh surat pernyataan yang biasanya banyak digunakan mulai dari surat pernyataan belum menikah surat pernyataan diri surat pernyataan menyesal sampai dengan surat pernyataan kesanggupan. Kumpulan contoh contoh surat lamaran kerja kontrak jual beli perjanjian kerjasama dan sebagainya. Yang bertanda tangan dibawah ini.
Disamping memiliki pengaruh yang baik untuk membuat jenis usaha kita dapat laris dan laku dipasaran. Jalan dalam hal ini bertindak untuk. Contoh surat penawaran menjadi seorang pengusaha atau bisnisman pasti akan mengenal salah satu jenis surat resmi ini. Atau jangan jangan kamu belum tahu apa itu surat pernyataan kesanggupan. Lampiran 12 contoh surat.